Официальное опубликование правовых актов
ОФИЦИАЛЬНОЕ ОПУБЛИКОВАНИЕ
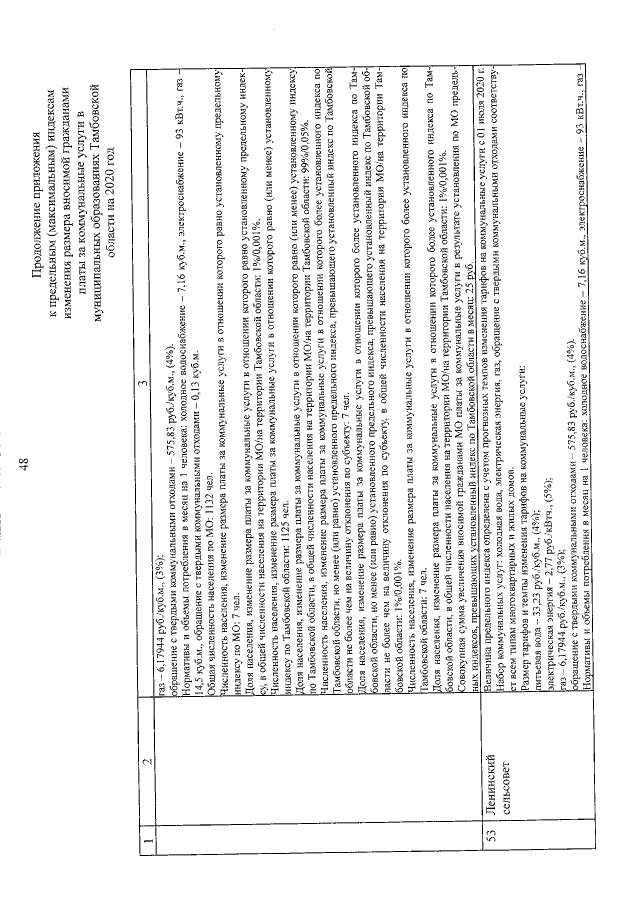
Постановление Главы администрации Тамбовской области от 04.12.2019 № 189
"Об утверждении предельных (максимальных) индексов изменения размера вносимой гражданами платы за коммунальные услуги в муниципальных образованиях Тамбовской области на 2020 год"
Номер опубликования: 6800201912060001
Дата опубликования: 06.12.2019
Страница №59 из 241:
Увеличить