Официальное опубликование правовых актов
ОФИЦИАЛЬНОЕ ОПУБЛИКОВАНИЕ
Закон Тамбовской области от 30.09.2019 № 391 - З
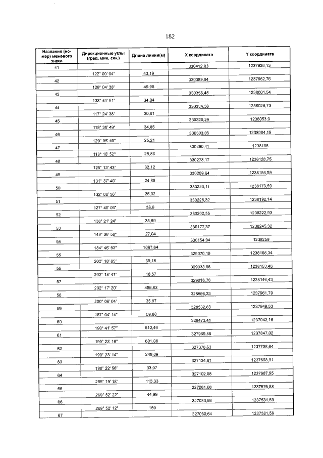
"О внесении изменений в Закон Тамбовской области "Об установлении границ муниципальных образований Жердевского района Тамбовской области и определении места нахождения их представительных органов и о признании утратившими силу отдельных положений некоторых законодательных актов Тамбовской области"
Номер опубликования: 6800201910010007
Дата опубликования: 01.10.2019
Страница №182 из 277:
Увеличить