Официальное опубликование правовых актов
ОФИЦИАЛЬНОЕ ОПУБЛИКОВАНИЕ
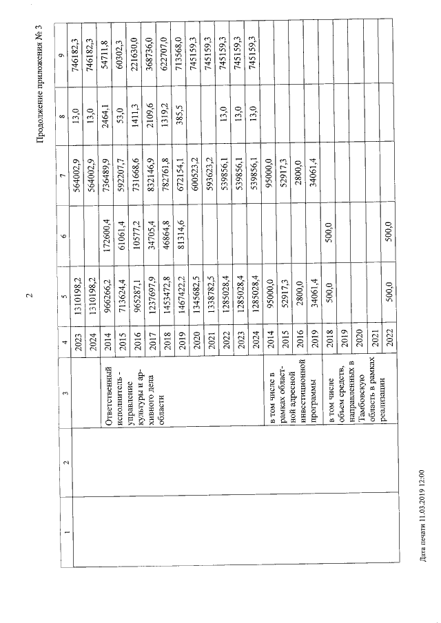
Постановление администрации Тамбовской области от 25.06.2019 № 740
"О внесении изменений в государственную программу Тамбовской области "Развитие культуры и туризма"
Номер опубликования: 6800201906270001
Дата опубликования: 27.06.2019
Страница №81 из 122:
Увеличить