Официальное опубликование правовых актов
ОФИЦИАЛЬНОЕ ОПУБЛИКОВАНИЕ
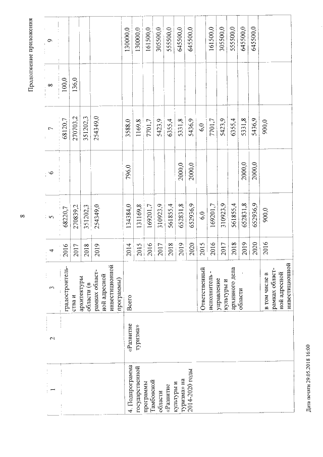
Постановление администрации Тамбовской области от 29.06.2018 № 661
"О внесении изменений в государственную программу Тамбовской области "Развитие культуры и туризма" на 2014-2020 годы"
Номер опубликования: 6800201807030004
Дата опубликования: 03.07.2018
Страница №13 из 15:
Увеличить