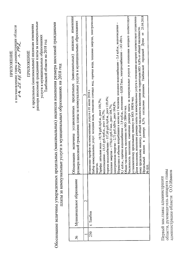
Постановление Главы администрации Тамбовской области от 25.05.2018 № 142
"О внесении изменений в предельные (максимальные) индексы изменения размера вносимой гражданами платы за коммунальные услуги в муниципальных образованиях Тамбовской области на 2018 год"
"О внесении изменений в предельные (максимальные) индексы изменения размера вносимой гражданами платы за коммунальные услуги в муниципальных образованиях Тамбовской области на 2018 год"
Номер опубликования: 6800201805280002
Дата опубликования:
28.05.2018
