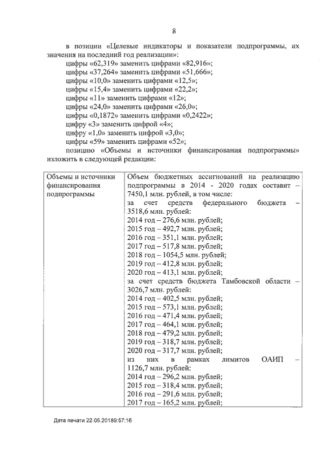
Постановление администрации Тамбовской области от 24.05.2018 № 514
"О внесении изменений в Государственную программу развития сельского хозяйства и регулирования рынков сельскохозяйственной продукции, сырья и продовольствия Тамбовской области на 2013 - 2020 годы"
"О внесении изменений в Государственную программу развития сельского хозяйства и регулирования рынков сельскохозяйственной продукции, сырья и продовольствия Тамбовской области на 2013 - 2020 годы"
Номер опубликования: 6800201805250006
Дата опубликования:
25.05.2018
