Официальное опубликование правовых актов
ОФИЦИАЛЬНОЕ ОПУБЛИКОВАНИЕ
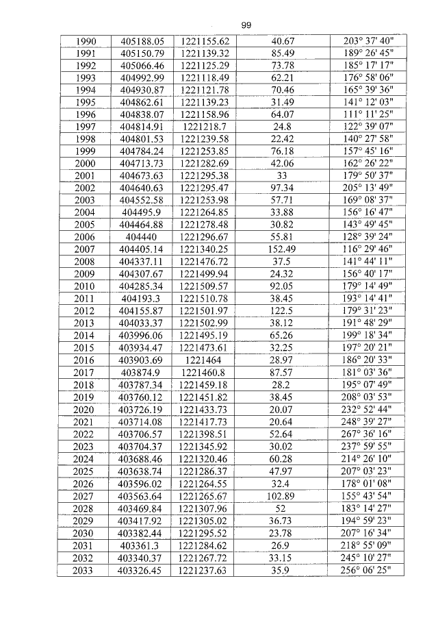
Закон Тамбовской области от 02.03.2018 № 215 - З
"О внесении изменений в Закон Тамбовской области "Об установлении границ и определении места нахождения представительных органов муниципальных образований в Тамбовской области"
Номер опубликования: 6800201803050016
Дата опубликования: 05.03.2018
Страница №99 из 192:
Увеличить