Официальное опубликование правовых актов
ОФИЦИАЛЬНОЕ ОПУБЛИКОВАНИЕ
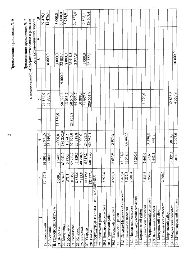
Постановление администрации Тамбовской области от 28.12.2017 № 1361
"О внесении изменений в государственную программу "Развитие транспортной системы и дорожного хозяйства Тамбовской области" на 2014-2020 годы"
Номер опубликования: 6800201712290017
Дата опубликования: 29.12.2017
Страница №59 из 77:
Увеличить