Официальное опубликование правовых актов
ОФИЦИАЛЬНОЕ ОПУБЛИКОВАНИЕ
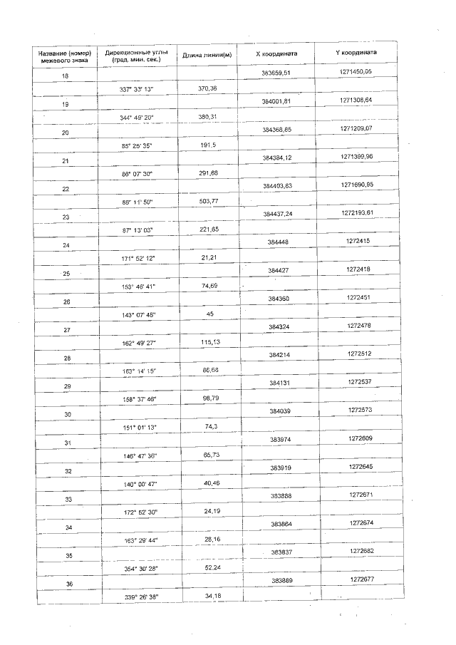
Закон Тамбовской области от 02.11.2017 № 158 - З
"Об установлении границ муниципальных образований Сампурского района Тамбовской области и определении места нахождения их представительных органов и о признании утратившими силу отдельных положений некоторых законодательных актов Тамбовской области"
Номер опубликования: 6800201711080010
Дата опубликования: 08.11.2017
Страница №203 из 229:
Увеличить