Официальное опубликование правовых актов
ОФИЦИАЛЬНОЕ ОПУБЛИКОВАНИЕ
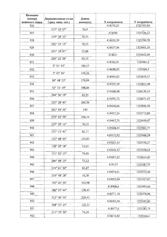
Закон Тамбовской области от 02.11.2017 № 154 - З
"Об установлении границ муниципальных образований Кирсановского района Тамбовской области и определении места нахождения их представительных органов и о признании утратившими силу отдельных положений некоторых законодательных актов Тамбовской области"
Номер опубликования: 6800201711080008
Дата опубликования: 08.11.2017
Страница №299 из 565:
Увеличить