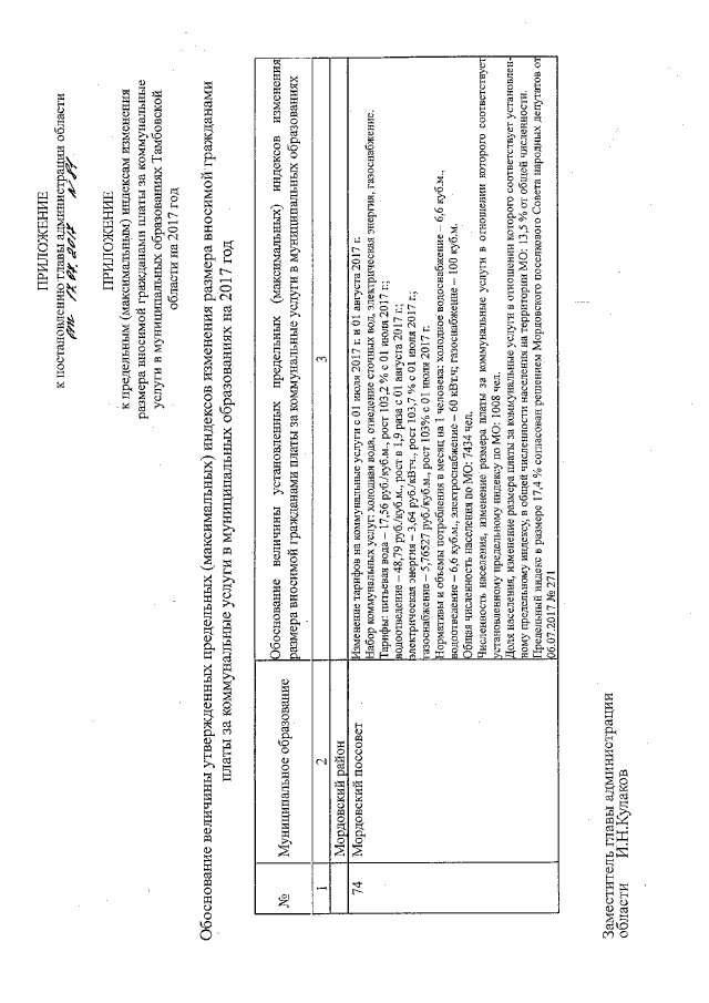
Постановление Главы администрации Тамбовской области от 17.07.2017 № 81
"О внесении изменений в предельные (максимальные) индексы изменения размера вносимой гражданами платы за коммунальные услуги в муниципальных образованиях Тамбовской области на 2017 год"
"О внесении изменений в предельные (максимальные) индексы изменения размера вносимой гражданами платы за коммунальные услуги в муниципальных образованиях Тамбовской области на 2017 год"
Номер опубликования: 6800201707200004
Дата опубликования:
20.07.2017
