Официальное опубликование правовых актов
ОФИЦИАЛЬНОЕ ОПУБЛИКОВАНИЕ
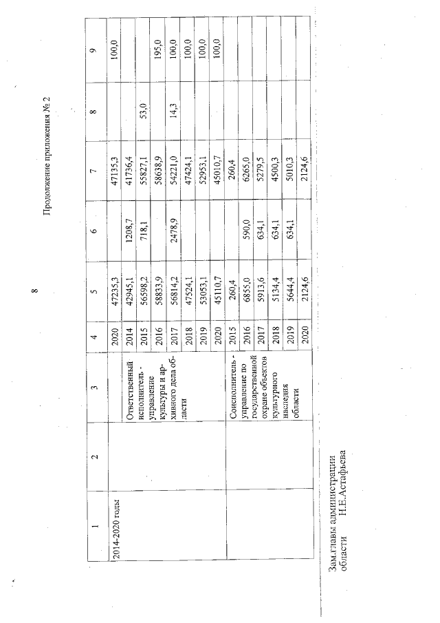
Постановление администрации Тамбовской области от 17.07.2017 № 673
"О внесении изменений в государственную программу Тамбовской области "Развитие культуры и туризма" на 2014-2020 годы"
Номер опубликования: 6800201707200002
Дата опубликования: 20.07.2017
Страница №55 из 55:
Увеличить