Постановление администрации Тамбовской области от 29.06.2017 № 611
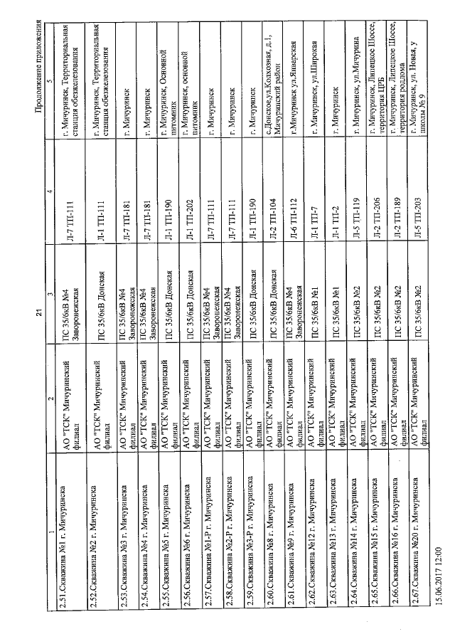
"Об утверждении Перечня потребителей, относящихся к категории потребителей электрической энергии (мощности), ограничение режима потребления электрической энергии которых может привести к экономическим, экологическим, социальным последствиям"
"Об утверждении Перечня потребителей, относящихся к категории потребителей электрической энергии (мощности), ограничение режима потребления электрической энергии которых может привести к экономическим, экологическим, социальным последствиям"
Номер опубликования: 6800201707030001
Дата опубликования:
03.07.2017
