Официальное опубликование правовых актов
ОФИЦИАЛЬНОЕ ОПУБЛИКОВАНИЕ
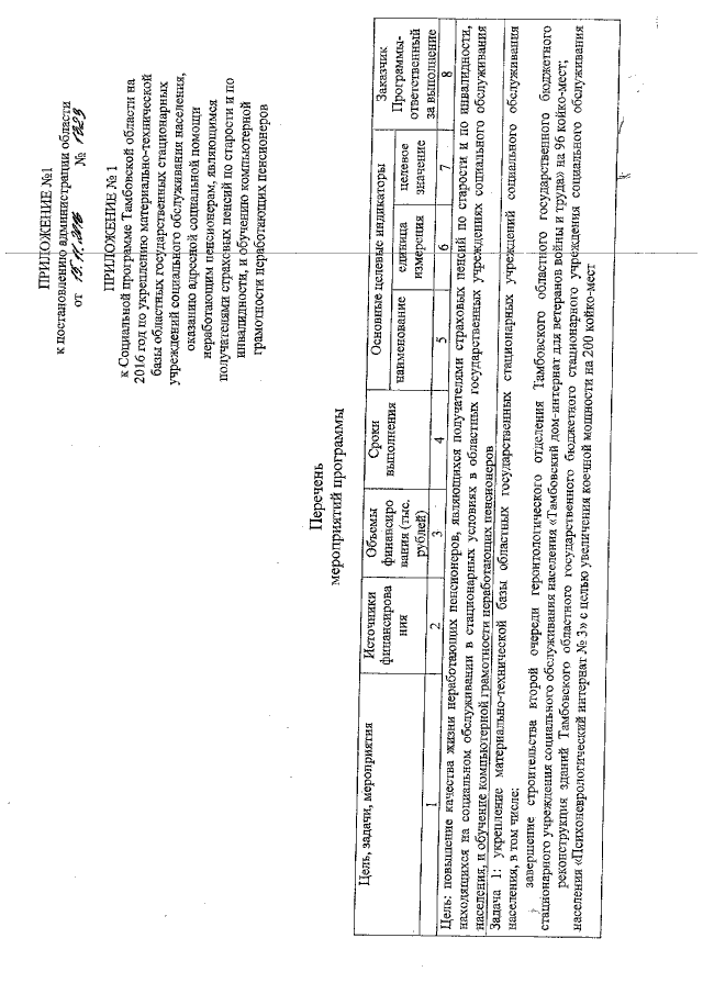
Постановление администрации Тамбовской области от 15.11.2016 № 1323
"О внесении изменений в Социальную программу Тамбовской области на 2016 год по укреплению материально-технической базы областных государственных стационарных учреждений социального обслуживания населения, оказанию адресной социальной помощи неработающим пенсионерам, являющимся получателями страховых пенсий по старости и по инвалидности, и обучению компьютерной грамотности неработающих пенсионеров и Порядок ее реализации"
Номер опубликования: 6800201611180005
Дата опубликования: 18.11.2016
Страница №3 из 14:
Увеличить