Официальное опубликование правовых актов
ОФИЦИАЛЬНОЕ ОПУБЛИКОВАНИЕ
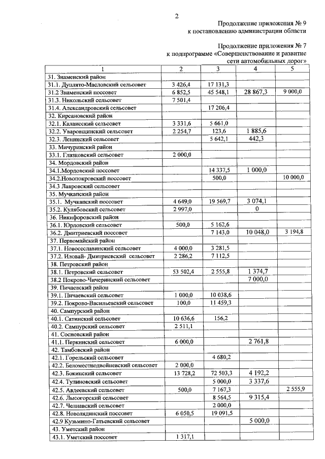
Постановление администрации Тамбовской области от 11.02.2016 № 127
"О внесении изменений в государственную программу "Развитие транспортной системы и дорожного хозяйства Тамбовской области" на 2014-2020 годы"
Номер опубликования: 6800201602160008
Дата опубликования: 16.02.2016
Страница №64 из 83:
Увеличить