Официальное опубликование правовых актов
ОФИЦИАЛЬНОЕ ОПУБЛИКОВАНИЕ
Постановление Главы администрации Тамбовской области от 01.12.2015 № 415
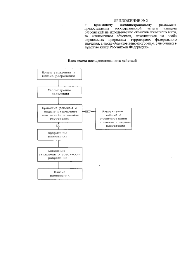
"Об утверждении временного административного регламента предоставления государственной услуги "выдача разрешений на использование объектов животного мира, за исключением объектов, находящихся на особо охраняемых природных территориях федерального значения, а также объектов животного мира, занесенных в Красную книгу Российской Федерации"
Номер опубликования: 6800201512040004
Дата опубликования: 04.12.2015
Страница №16 из 17:
Увеличить