Официальное опубликование правовых актов
ОФИЦИАЛЬНОЕ ОПУБЛИКОВАНИЕ
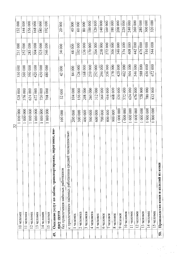
Закон Тамбовской области от 27.11.2015 № 588-З
"О внесении изменений в Закон Тамбовской области "О введении в действие на территории Тамбовской области патентной системы налогообложения" и признании утратившим силу Закона Тамбовской области "Об установлении размеров потенциально возможного к получению индивидуальным предпринимателем годового дохода по видам предпринимательской деятельности, в отношении которых применяется патентная система налогообложения, на 2015 год и признании утратившим силу абзаца второго статьи 2 Закона Тамбовской области "О введении в действие на территории Тамбовской области патентной системы налогообложения"
Номер опубликования: 6800201512020005
Дата опубликования: 02.12.2015
Страница №32 из 44:
Увеличить