Официальное опубликование правовых актов
ОФИЦИАЛЬНОЕ ОПУБЛИКОВАНИЕ
Постановление администрации Тамбовской области от 12.11.2015 № 1292
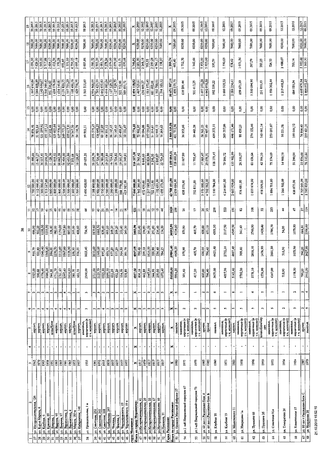
"О внесении изменений в региональный план реализации в 2014-2016 годах Программы капитального ремонта многоквартирных домов, расположенных на территории Тамбовской области, на период 2014-2043 годов"
Номер опубликования: 6800201511160001
Дата опубликования: 16.11.2015
Страница №39 из 48:
Увеличить