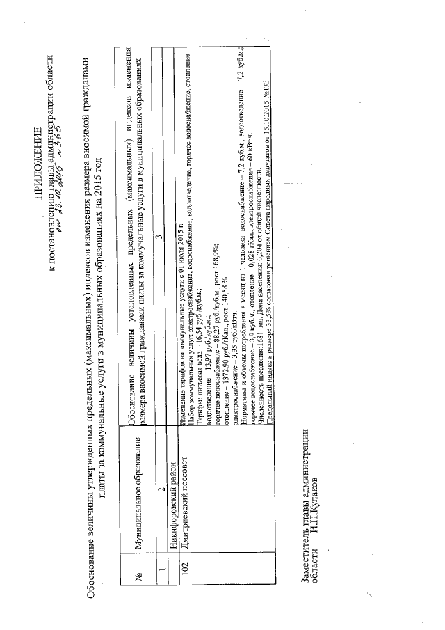
Постановление Главы администрации Тамбовской области от 23.10.2015 № 365
"О внесении изменений в предельные (максимальные) индексы изменения размера вносимой гражданами платы за коммунальные услуги в муниципальных образованиях Тамбовской области на 2015 год"
"О внесении изменений в предельные (максимальные) индексы изменения размера вносимой гражданами платы за коммунальные услуги в муниципальных образованиях Тамбовской области на 2015 год"
Номер опубликования: 6800201510260001
Дата опубликования:
26.10.2015
