Официальное опубликование правовых актов
ОФИЦИАЛЬНОЕ ОПУБЛИКОВАНИЕ
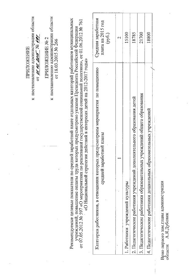
Постановление администрации Тамбовской области от 01.07.2015 № 691
"О внесении изменений в постановление администрации области от 18.03.2015 № 266 "Об утверждении целевых показателей по средней заработной плате в Тамбовской области на 2015 год"
Номер опубликования: 6800201507020002
Дата опубликования: 02.07.2015
Страница №3 из 3:
Увеличить