Официальное опубликование правовых актов
ОФИЦИАЛЬНОЕ ОПУБЛИКОВАНИЕ
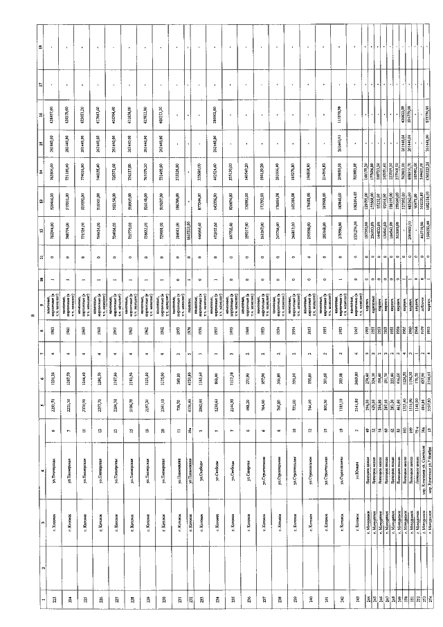
Постановление администрации Тамбовской области от 04.06.2015 № 553
"О внесении изменений в региональный план реализации в 2014-2016 годах Программы капитального ремонта многоквартирных домов, расположенных на территории Тамбовской области, на период 2014-2043 годов"
Номер опубликования: 6800201506080006
Дата опубликования: 08.06.2015
Страница №10 из 47:
Увеличить