Официальное опубликование правовых актов
ОФИЦИАЛЬНОЕ ОПУБЛИКОВАНИЕ
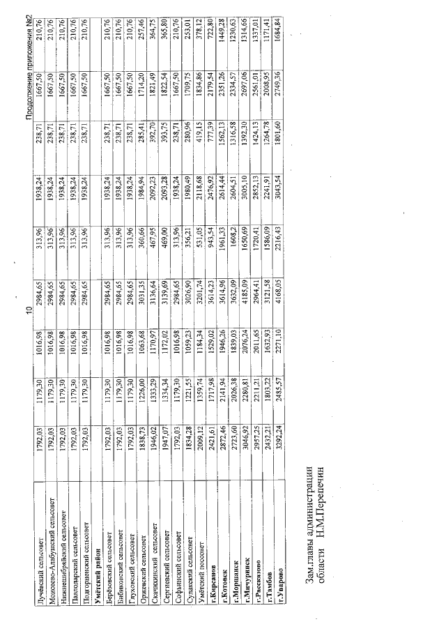
Постановление администрации Тамбовской области от 30.01.2015 № 75
"Об областных стандартах для расчета субсидий на оплату жилого помещения и коммунальных услуг на январь-июнь 2015 года"
Номер опубликования: 6800201502030004
Дата опубликования: 03.02.2015
Страница №23 из 33:
Увеличить