Официальное опубликование правовых актов
ОФИЦИАЛЬНОЕ ОПУБЛИКОВАНИЕ
Постановление администрации Тамбовской области от 14.01.2015 № 21
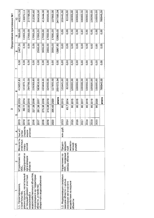
"О внесении изменений в государственную программу "Охрана окружающей среды, воспроизводство и использование природных ресурсов Тамбовской области" на 2013-2020 годы"
Номер опубликования: 6800201501160001
Дата опубликования: 16.01.2015
Страница №13 из 46:
Увеличить