Официальное опубликование правовых актов
ОФИЦИАЛЬНОЕ ОПУБЛИКОВАНИЕ
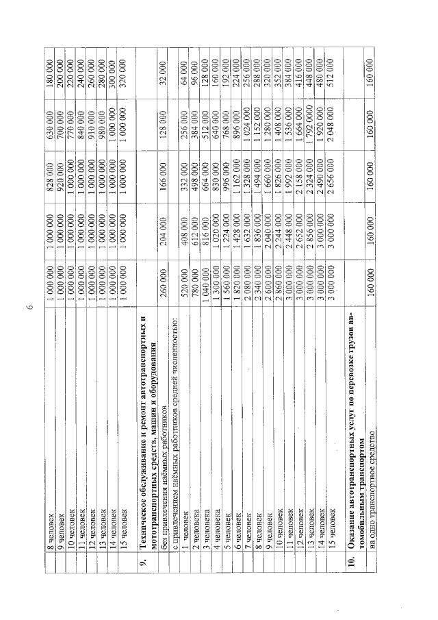
Закон Тамбовской области от 27.11.2014 № 467 - З
"Об установлении размеров потенциально возможного к получению индивидуальным предпринимателем годового дохода по видам предпринимательской деятельности, в отношении которых применяется патентная система налогообложения, на 2015 год и признании утратившим силу абзаца второго статьи 2 Закона Тамбовской области "О введении в действие на территории Тамбовской области патентной системы налогообложения"
Номер опубликования: 6800201412010003
Дата опубликования: 01.12.2014
Страница №7 из 28:
Увеличить