Официальное опубликование правовых актов
ОФИЦИАЛЬНОЕ ОПУБЛИКОВАНИЕ
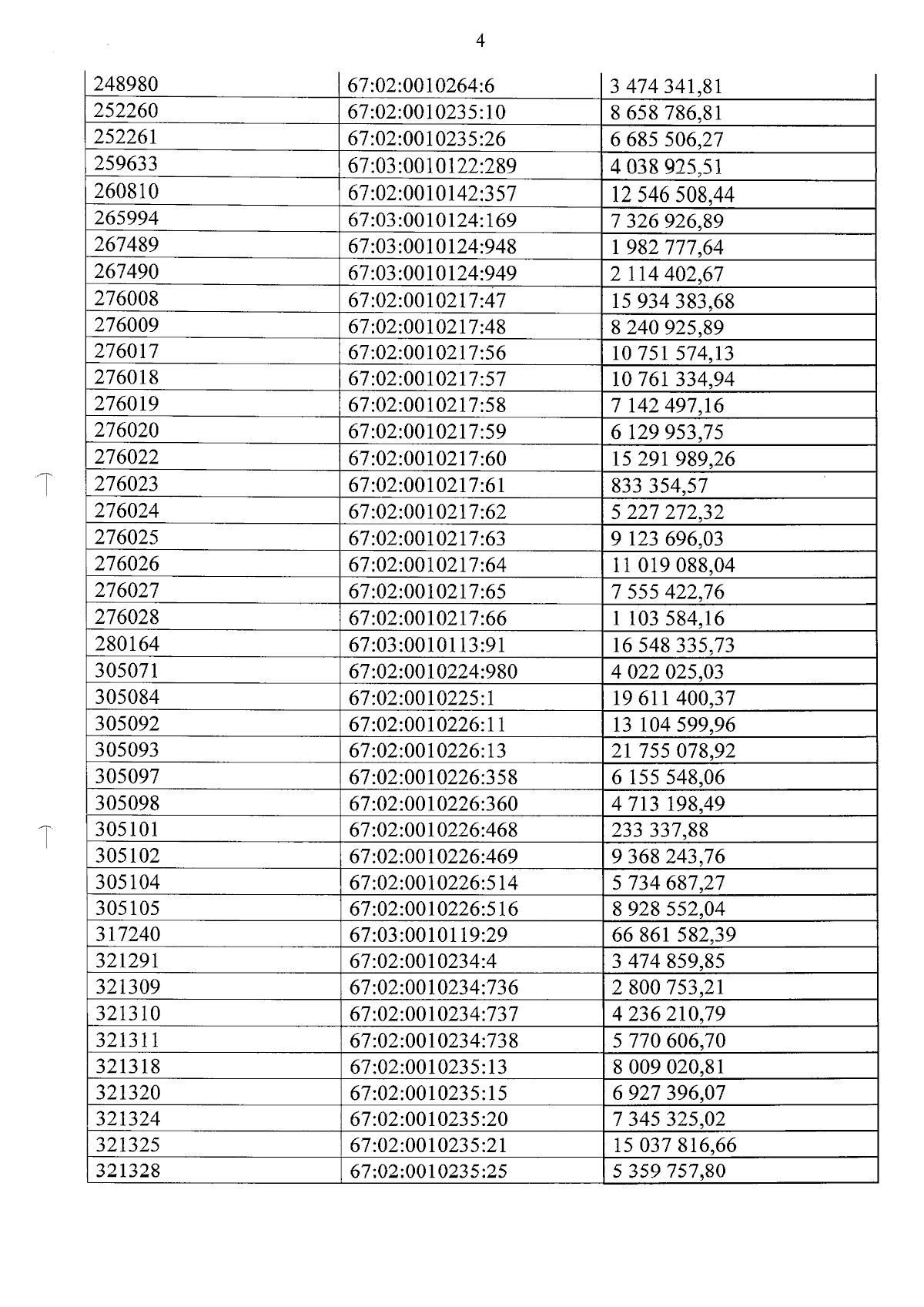
Приказ Министерства имущественных и земельных отношений Смоленской области от 16.11.2023 № 92
"О внесении изменений в приказ начальника Департамента имущественных и земельных отношений Смоленской области от 07.11.2022 № 1083"
(Зарегистрирован 17.11.2023 № 31/33-пр)
Номер опубликования: 6701202311230001
Дата опубликования: 23.11.2023
Страница №4 из 11:
Увеличить