Официальное опубликование правовых актов
ОФИЦИАЛЬНОЕ ОПУБЛИКОВАНИЕ
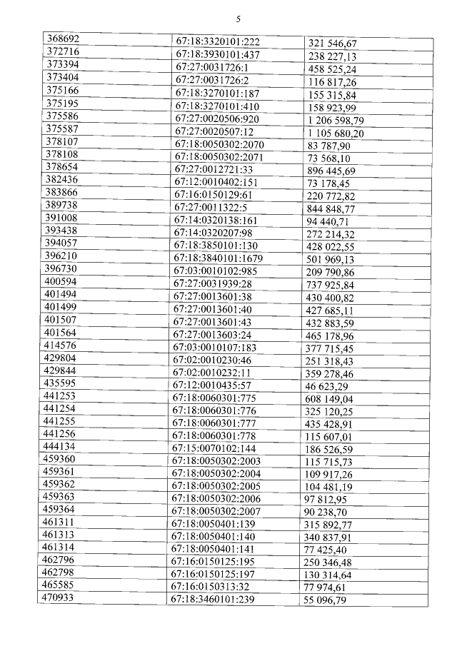
Приказ Департамента имущественных и земельных отношений Смоленской области от 03.05.2023 № 390
"О внесении изменений в приказ и.о. начальника Департамента имущественных и земельных отношений Смоленской области от 07.11.2022 № 1083"
(Зарегистрирован 03.05.2023 № 31/33-пр)
Номер опубликования: 6701202305100001
Дата опубликования: 10.05.2023
Страница №5 из 7:
Увеличить