Официальное опубликование правовых актов
ОФИЦИАЛЬНОЕ ОПУБЛИКОВАНИЕ
Приказ Департамента имущественных и земельных отношений Смоленской области от 29.10.2019 № 1300
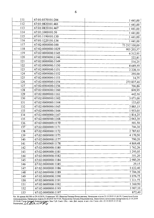
"Об утверждении результатов определения кадастровой стоимости земельных участков в составе земель промышленности, энергетики, транспорта, связи, радиовещания, телевидения, информатики, земель для обеспечения космической деятельности, земель обороны, безопасности и земель иного специального назначения на территории Смоленской области"
Номер опубликования: 6701201910310001
Дата опубликования: 31.10.2019
Страница №6 из 195:
Увеличить