Официальное опубликование правовых актов
ОФИЦИАЛЬНОЕ ОПУБЛИКОВАНИЕ
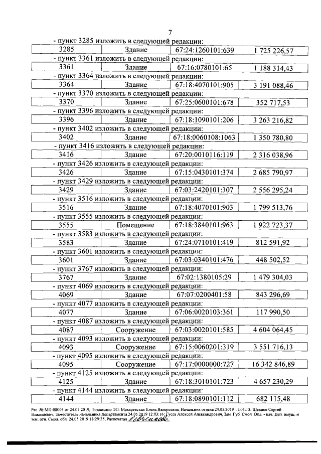
Приказ Департамента имущественных и земельных отношений Смоленской области от 24.05.2019 № 455
"О внесении изменений в приказ начальника Департамента имущественных и земельных отношений Смоленской области от 02.11.2018 № 744"
Номер опубликования: 6701201905300002
Дата опубликования: 30.05.2019
Страница №7 из 45:
Увеличить