Официальное опубликование правовых актов
ОФИЦИАЛЬНОЕ ОПУБЛИКОВАНИЕ
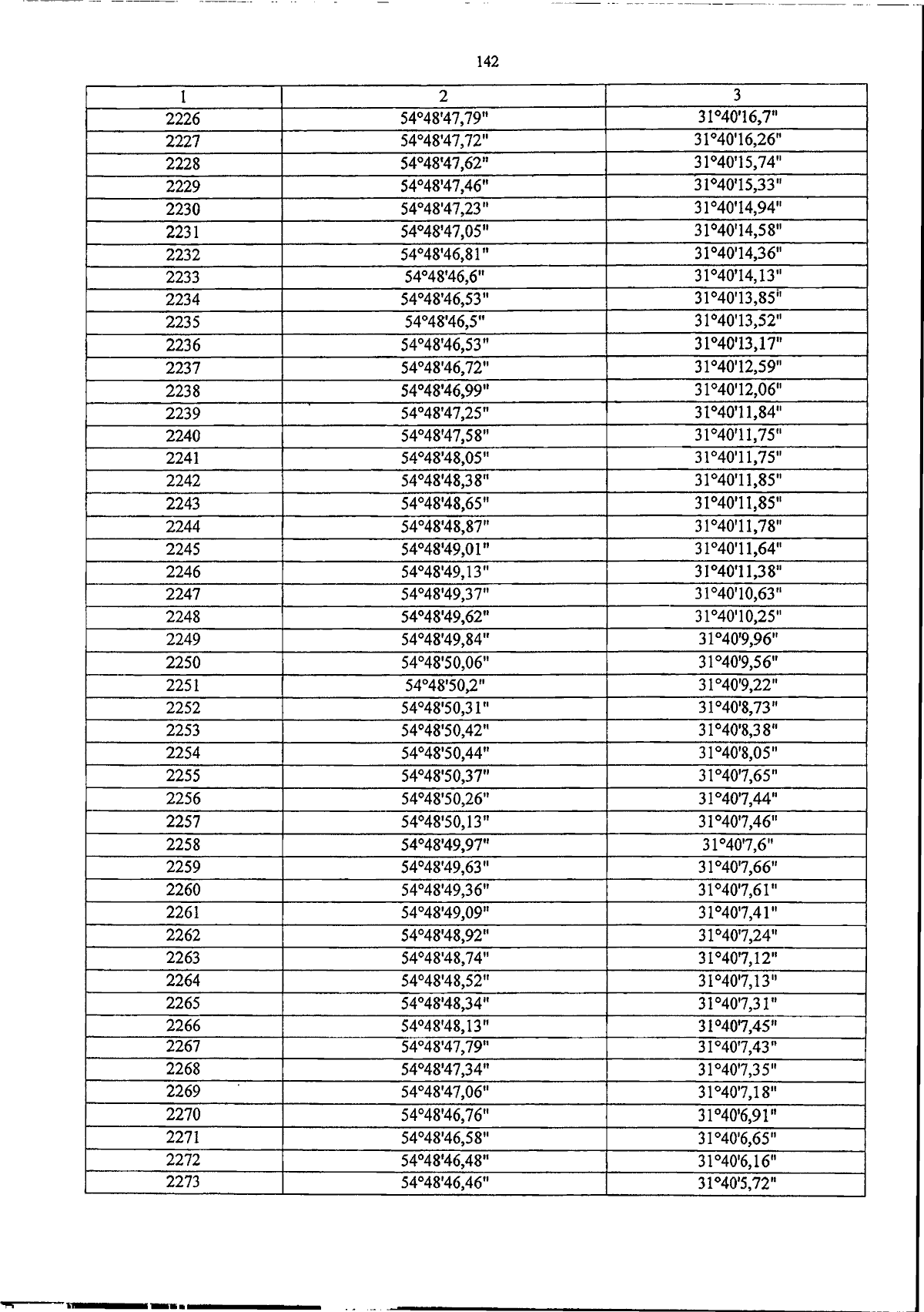
Указ Губернатора Смоленской области от 23.12.2025 № 147
"О создании охранной зоны памятника природы регионального значения "Озеро Купринское" и установлении ее границ"
Номер опубликования: 6700202512240017
Дата опубликования: 24.12.2025
Страница №142 из 168:
Увеличить