Официальное опубликование правовых актов
ОФИЦИАЛЬНОЕ ОПУБЛИКОВАНИЕ
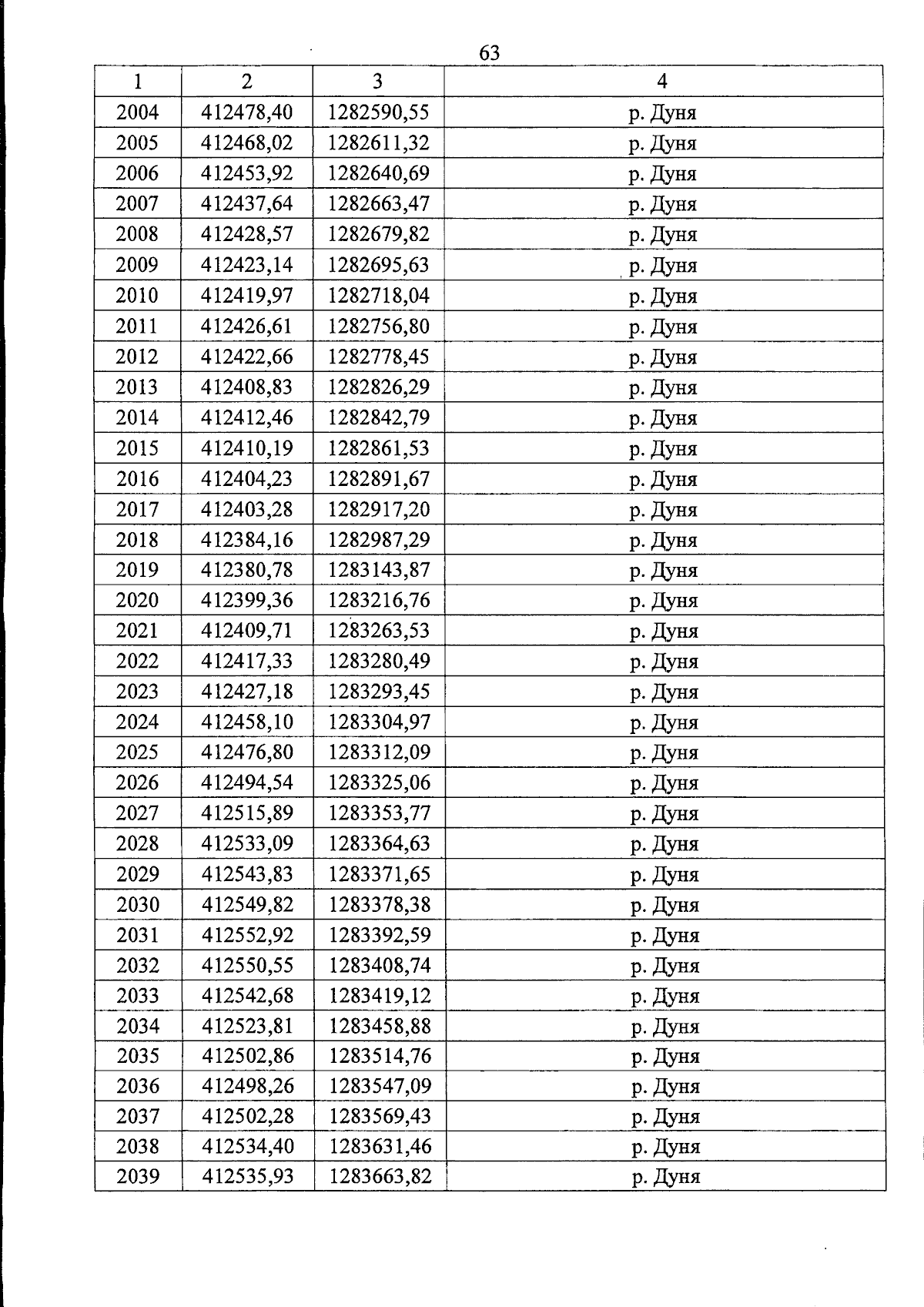
Закон Смоленской области от 18.12.2025 № 180-з
"О внесении изменений в областной закон "Об установлении границ муниципального образования "Починковский муниципальный округ" Смоленской области"
Номер опубликования: 6700202512180056
Дата опубликования: 18.12.2025
Страница №63 из 89:
Увеличить