Официальное опубликование правовых актов
ОФИЦИАЛЬНОЕ ОПУБЛИКОВАНИЕ
Постановление Правительства Смоленской области от 09.12.2025 № 753
"Об утверждении региональной программы "Укрепление здоровья и формирование здоровьесберегающей среды" на 2025 – 2030 годы"
Номер опубликования: 6700202512120007
Дата опубликования: 12.12.2025
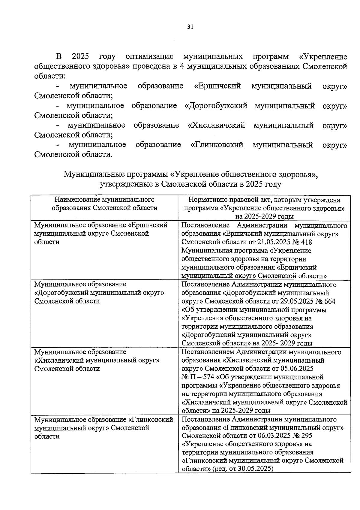
Страница №31 из 44:
Увеличить