Официальное опубликование правовых актов
ОФИЦИАЛЬНОЕ ОПУБЛИКОВАНИЕ
Постановление Правительства Смоленской области от 30.06.2025 № 388
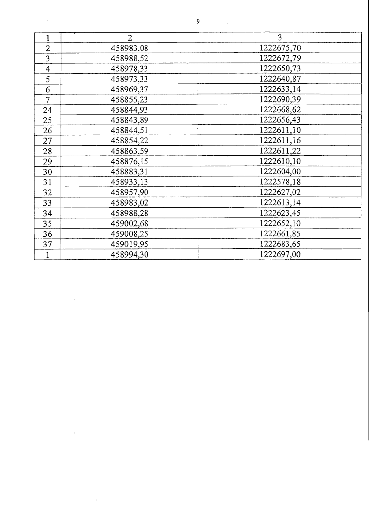
"Об установлении зон охраны объекта культурного наследия (памятника истории и культуры) народов Российской Федерации регионального значения "Комплекс общественных зданий", нач. XX в., расположенного по адресу (местонахождение): Смоленская область, город Смоленск, ул. Тенишевой, д. 26, и утверждении требований к градостроительным регламентам в границах территорий данных зон"
Номер опубликования: 6700202507040002
Дата опубликования: 04.07.2025
Страница №9 из 14:
Увеличить