Официальное опубликование правовых актов
ОФИЦИАЛЬНОЕ ОПУБЛИКОВАНИЕ
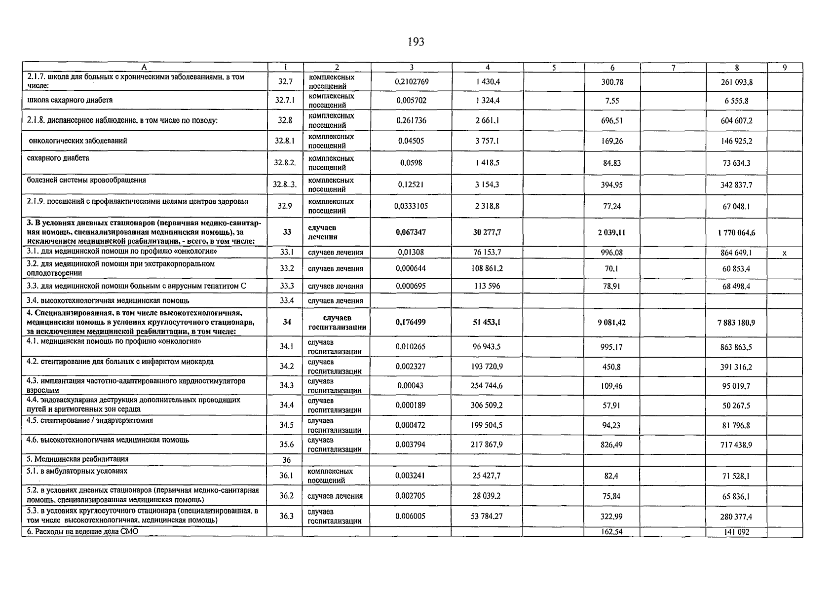
Постановление Правительства Смоленской области от 14.04.2025 № 216
"О внесении изменения в Территориальную программу государственных гарантий бесплатного оказания гражданам медицинской помощи на 2025 год и на плановый период 2026 и 2027 годов"
Номер опубликования: 6700202504170009
Дата опубликования: 17.04.2025
Страница №193 из 357:
Увеличить