Постановление Правительства Смоленской области от 03.04.2025 № 193
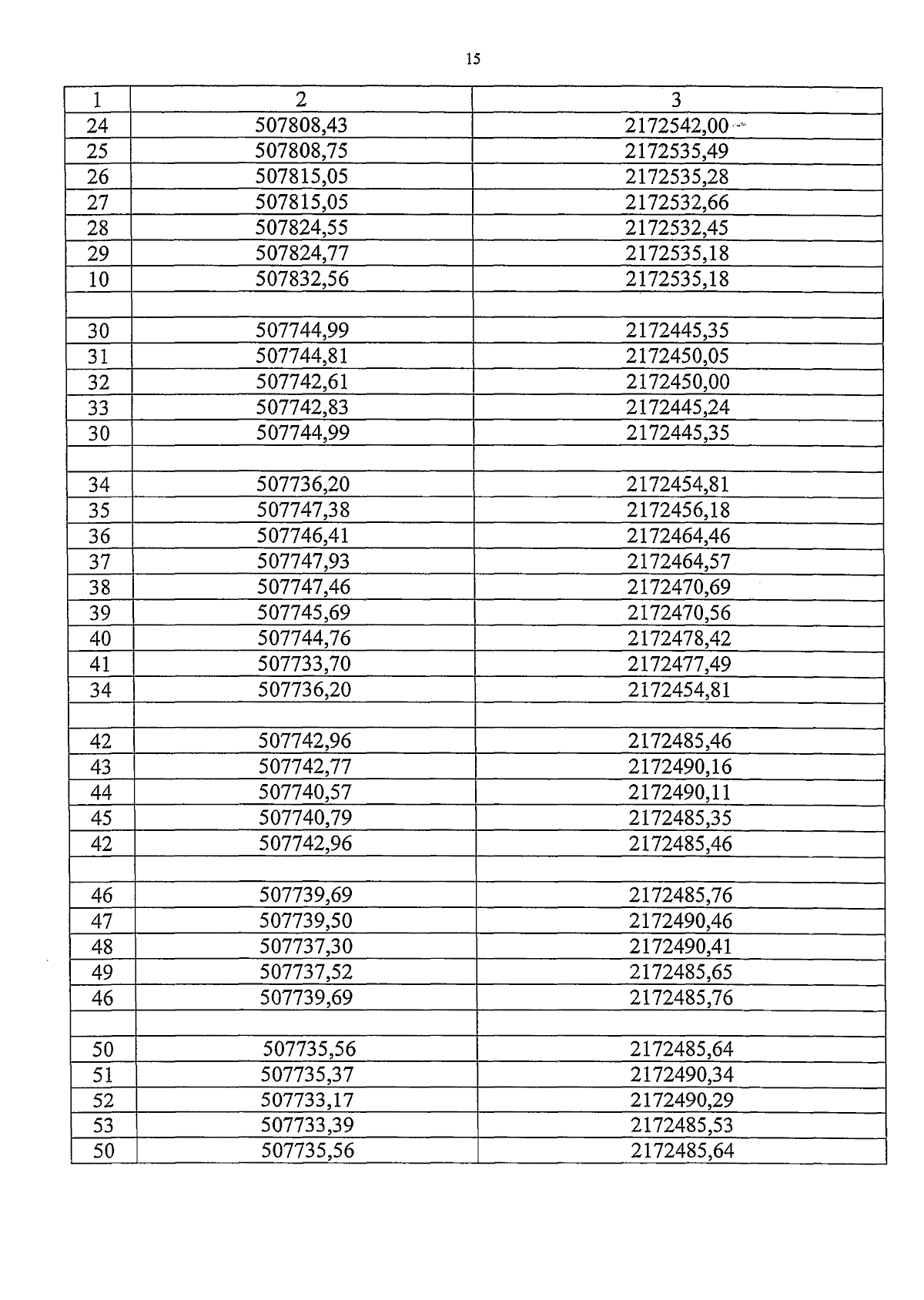
"Об установлении единой охранной зоны объекта культурного наследия (памятника истории и культуры) народов Российской Федерации федерального значения "Церковь Екатерины", 1791 г., расположенного по адресу: Смоленская область, Вяземский район, г. Вязьма, ул. Докучаева, объекта культурного наследия (памятника истории и культуры) народов Российской Федерации регионального значения "Могила генерал-лейтенанта танковых войск П.Н. Алексеенко, погибшего в боях под Вязьмой. Установлен обелиск", 1941 г., расположенного по адресу: Смоленская область, Вяземский район, г. Вязьма, Екатерининское кладбище, объекта культурного наследия (памятника истории и культуры) народов Российской Федерации регионального значения "Могила председателя Вяземского ревкома и Совета рабочих и солдатских депутатов Г.С. Овсяника", расположенного по адресу: Смоленская область, Вяземский район, г. Вязьма, Екатерининское кладбище, объекта культурного наследия (памятника истории и культуры) народов Российской Федерации регионального значения "Могила командующего 33 армией генерал-лейтенанта М.Г. Ефремова, погибшего под Вязьмой 19 апреля 1942 г. Установлен обелиск", расположенного по адресу: Смоленская область, Вяземский район, город Вязьма, Екатерининское кладбище, объекта культурного наследия (памятника истории и культуры) народов Российской Федерации регионального значения "Могила корпусного комиссара, члена Военного совета 20 армии Ф.А. Семеновского, погибшего в боях под Вязьмой", 1941 г.,1960 г. - перезахоронение, расположенного по адресу: Смоленская область, Вяземский район, г. Вязьма, Екатерининское кладбище, объекта культурного наследия (памятника истории и культуры) народов Российской Федерации регионального значения "Братская могила воинов Советской Армии, погибших в 1941–1943 гг. в боях с немецко-фашистскими захватчиками. Установлен обелиск", расположенного по адресу: Смоленская область, Вяземский район, город Вязьма, Екатерининское кладбище, и утверждении требований к градостроительным регламентам в границах территорий данных зон"
"Об установлении единой охранной зоны объекта культурного наследия (памятника истории и культуры) народов Российской Федерации федерального значения "Церковь Екатерины", 1791 г., расположенного по адресу: Смоленская область, Вяземский район, г. Вязьма, ул. Докучаева, объекта культурного наследия (памятника истории и культуры) народов Российской Федерации регионального значения "Могила генерал-лейтенанта танковых войск П.Н. Алексеенко, погибшего в боях под Вязьмой. Установлен обелиск", 1941 г., расположенного по адресу: Смоленская область, Вяземский район, г. Вязьма, Екатерининское кладбище, объекта культурного наследия (памятника истории и культуры) народов Российской Федерации регионального значения "Могила председателя Вяземского ревкома и Совета рабочих и солдатских депутатов Г.С. Овсяника", расположенного по адресу: Смоленская область, Вяземский район, г. Вязьма, Екатерининское кладбище, объекта культурного наследия (памятника истории и культуры) народов Российской Федерации регионального значения "Могила командующего 33 армией генерал-лейтенанта М.Г. Ефремова, погибшего под Вязьмой 19 апреля 1942 г. Установлен обелиск", расположенного по адресу: Смоленская область, Вяземский район, город Вязьма, Екатерининское кладбище, объекта культурного наследия (памятника истории и культуры) народов Российской Федерации регионального значения "Могила корпусного комиссара, члена Военного совета 20 армии Ф.А. Семеновского, погибшего в боях под Вязьмой", 1941 г.,1960 г. - перезахоронение, расположенного по адресу: Смоленская область, Вяземский район, г. Вязьма, Екатерининское кладбище, объекта культурного наследия (памятника истории и культуры) народов Российской Федерации регионального значения "Братская могила воинов Советской Армии, погибших в 1941–1943 гг. в боях с немецко-фашистскими захватчиками. Установлен обелиск", расположенного по адресу: Смоленская область, Вяземский район, город Вязьма, Екатерининское кладбище, и утверждении требований к градостроительным регламентам в границах территорий данных зон"
Номер опубликования: 6700202504040001
Дата опубликования:
04.04.2025
