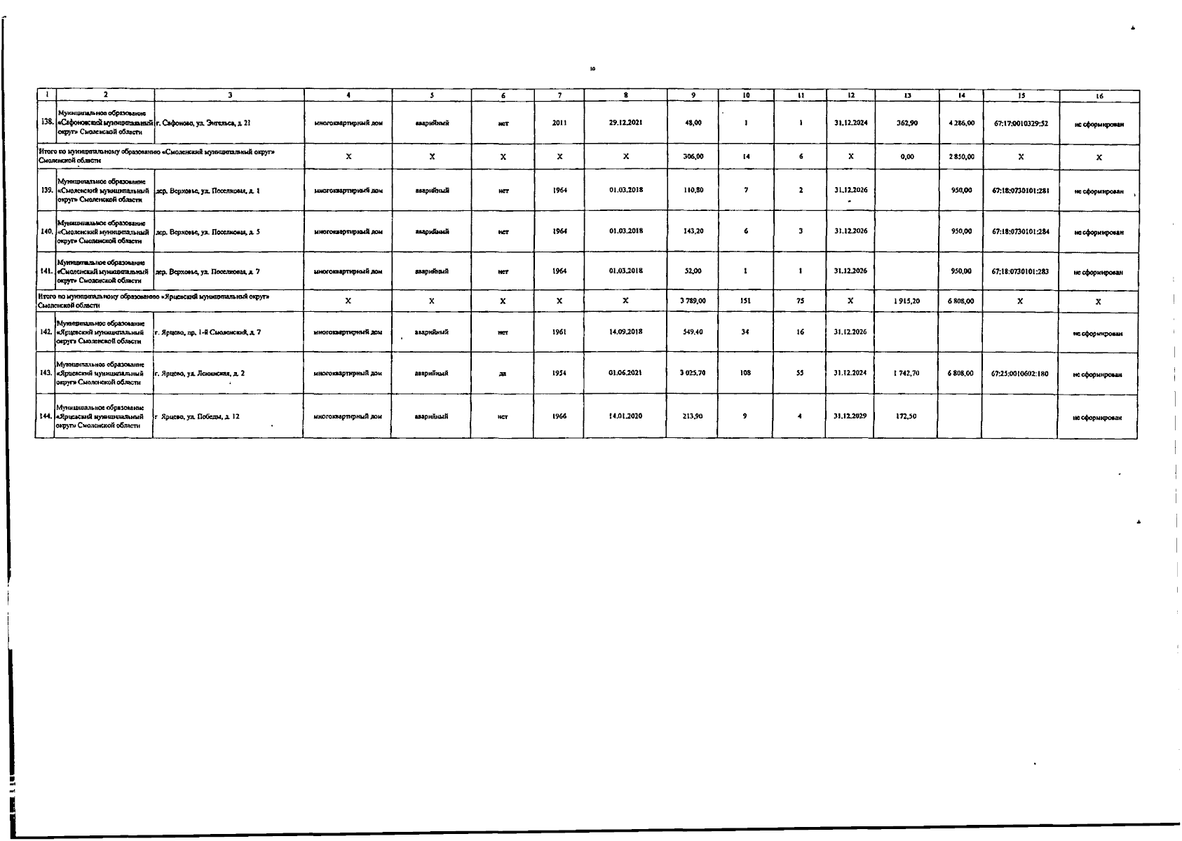
Постановление Правительства Смоленской области от 27.02.2025 № 106
"О внесении изменений в региональную адресную программу "Переселение граждан из аварийного жилищного фонда" на 2024 - 2030 годы"
"О внесении изменений в региональную адресную программу "Переселение граждан из аварийного жилищного фонда" на 2024 - 2030 годы"
Номер опубликования: 6700202502280046
Дата опубликования:
28.02.2025
