Официальное опубликование правовых актов
ОФИЦИАЛЬНОЕ ОПУБЛИКОВАНИЕ
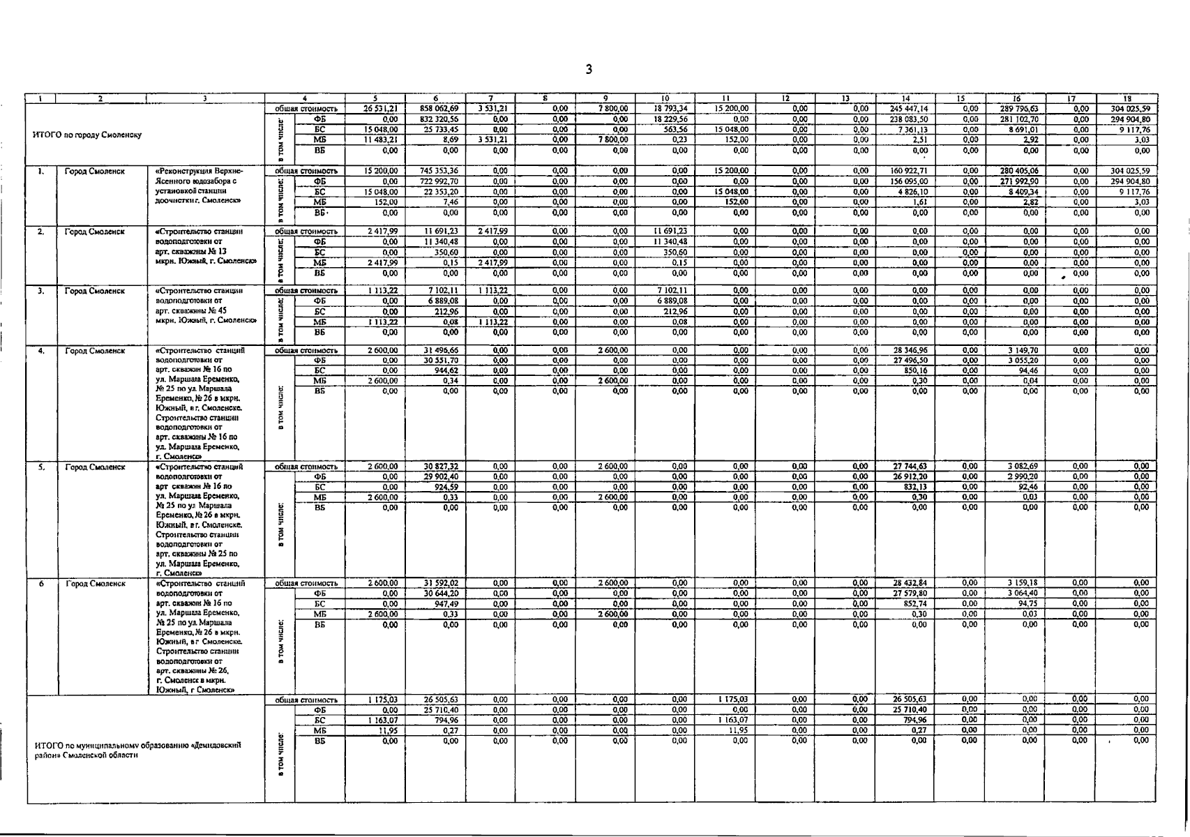
Постановление Правительства Смоленской области от 26.12.2024 № 1033
"О внесении изменений в областную государственную программу "Повышение качества водоснабжения на территории Смоленской области"
Номер опубликования: 6700202412290003
Дата опубликования: 29.12.2024
Страница №3 из 10:
Увеличить