Официальное опубликование правовых актов
ОФИЦИАЛЬНОЕ ОПУБЛИКОВАНИЕ
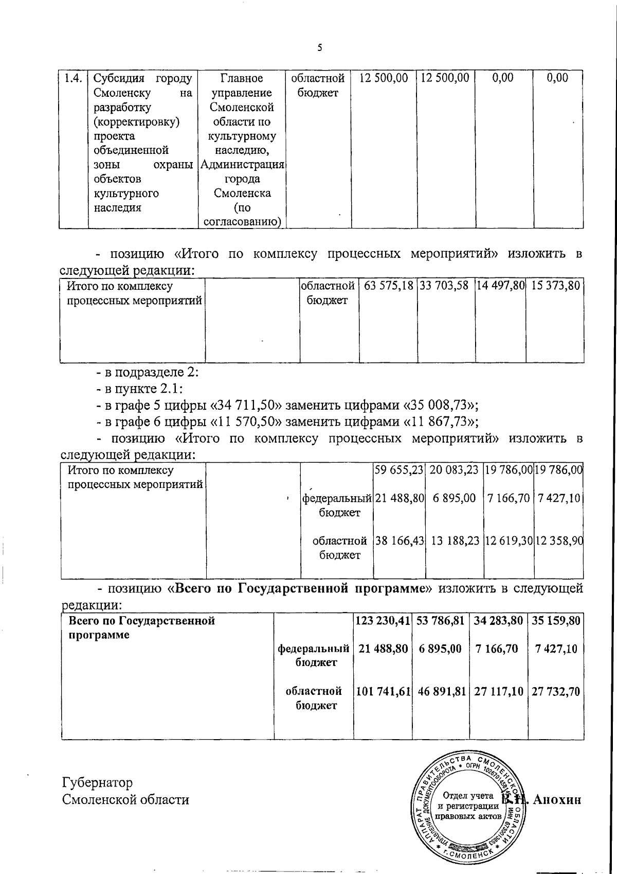
Постановление Правительства Смоленской области от 26.12.2024 № 1044
"О внесении изменений в областную государственную программу "Сохранение объектов культурного наследия (памятников истории и культуры) народов Российской Федерации, расположенных на территории Смоленской области"
Номер опубликования: 6700202412290002
Дата опубликования: 29.12.2024
Страница №5 из 5:
Увеличить