Официальное опубликование правовых актов
ОФИЦИАЛЬНОЕ ОПУБЛИКОВАНИЕ
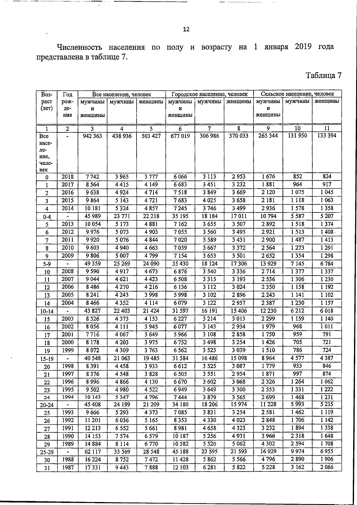
Постановление Правительства Смоленской области от 12.12.2024 № 973
"Об утверждении Региональной программы по повышению рождаемости в Смоленской области на 2024 – 2027 годы"
Номер опубликования: 6700202412200001
Дата опубликования: 20.12.2024
Страница №12 из 164:
Увеличить