Официальное опубликование правовых актов
ОФИЦИАЛЬНОЕ ОПУБЛИКОВАНИЕ
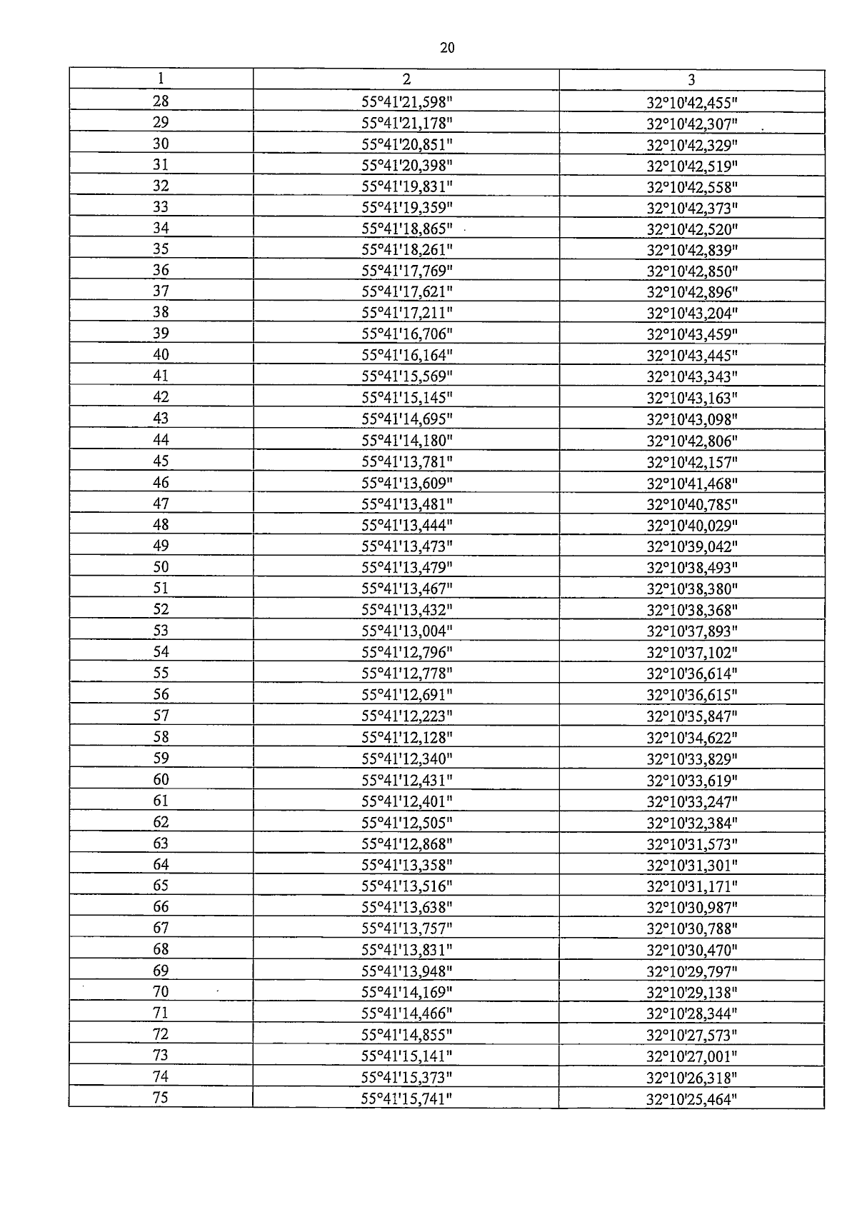
Указ Губернатора Смоленской области от 14.11.2024 № 102
"О создании охранной зоны памятника природы регионального значения "Озеро Княжное" и установлении ее границ"
Номер опубликования: 6700202411180004
Дата опубликования: 18.11.2024
Страница №20 из 28:
Увеличить