Официальное опубликование правовых актов
ОФИЦИАЛЬНОЕ ОПУБЛИКОВАНИЕ
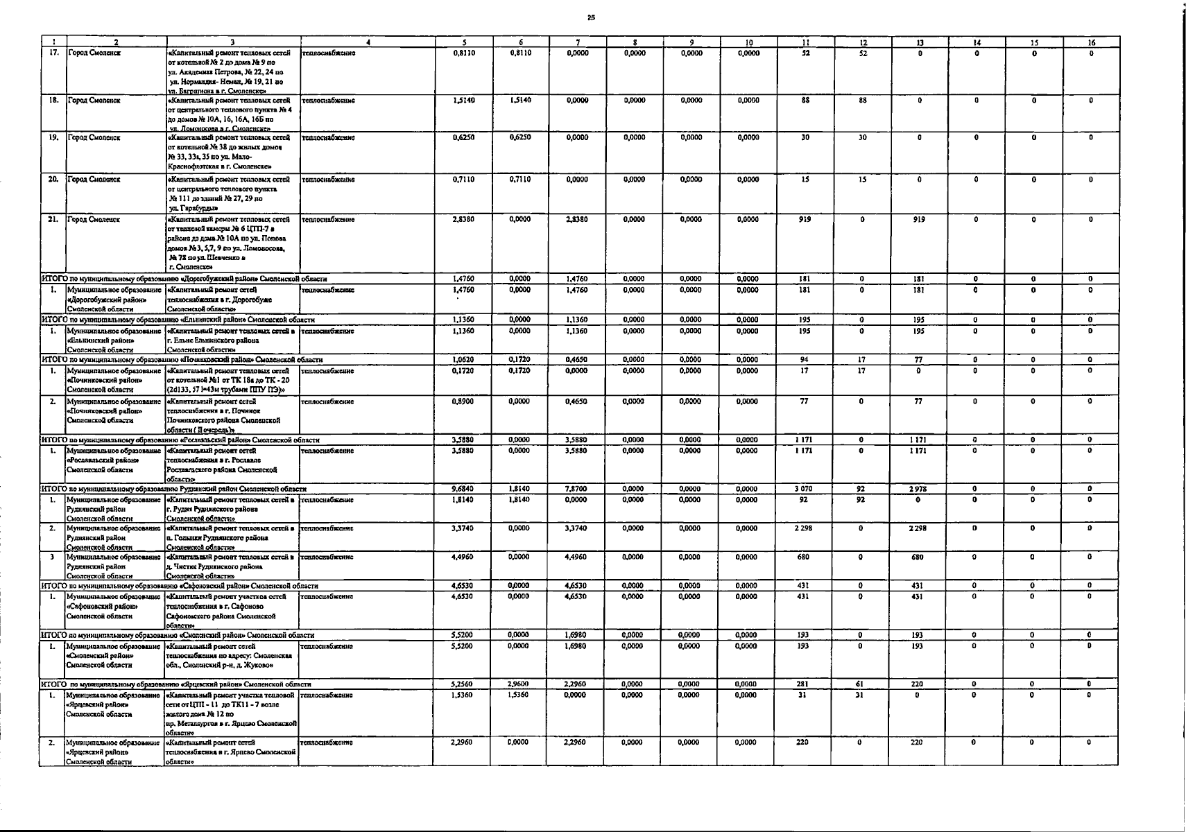
Постановление Правительства Смоленской области от 22.07.2024 № 549
"О внесении изменений в региональную программу "Модернизация систем коммунальной инфраструктуры Смоленской области" на 2023 – 2027 годы"
Номер опубликования: 6700202407220003
Дата опубликования: 22.07.2024
Страница №25 из 35:
Увеличить