Официальное опубликование правовых актов
ОФИЦИАЛЬНОЕ ОПУБЛИКОВАНИЕ
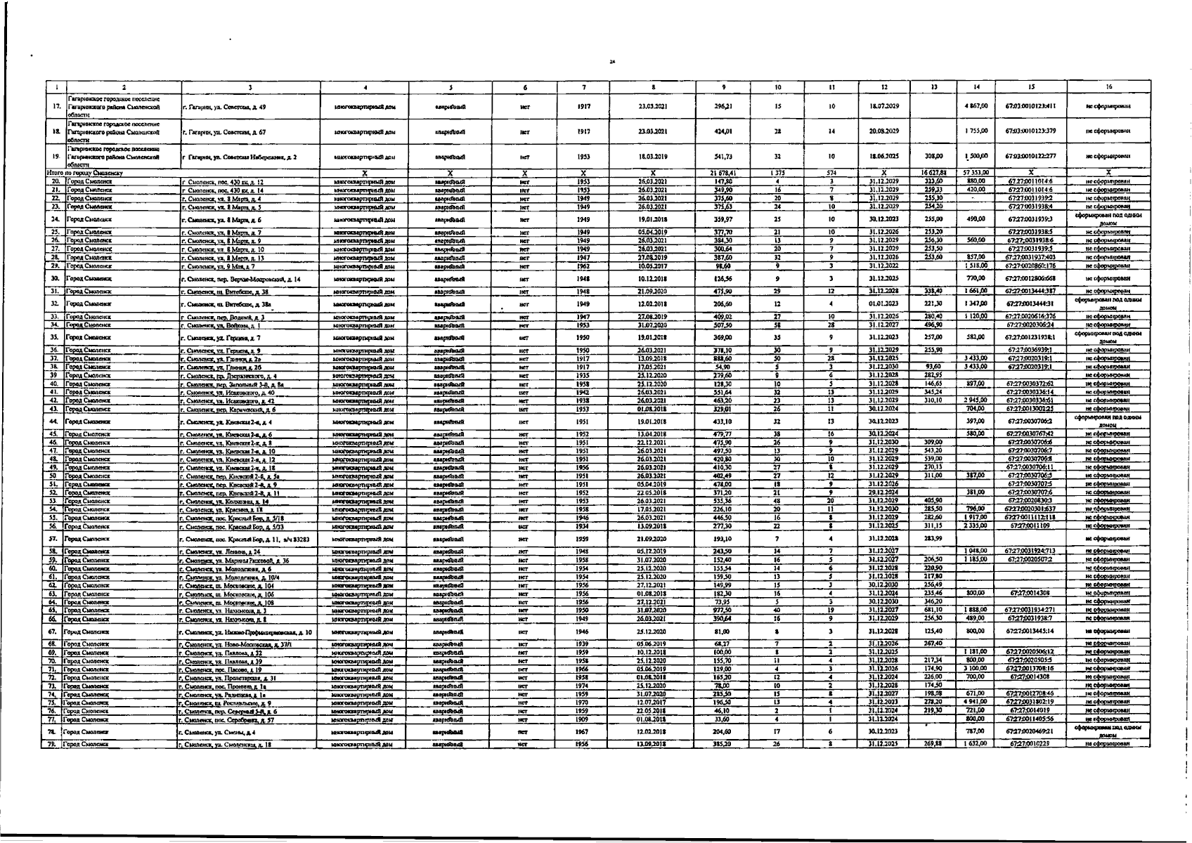
Постановление Правительства Смоленской области от 18.07.2024 № 535
"Об утверждении региональной адресной программы "Переселение граждан из аварийного жилищного фонда" на 2024-2030 годы"
Номер опубликования: 6700202407190008
Дата опубликования: 19.07.2024
Страница №24 из 30:
Увеличить