Официальное опубликование правовых актов
ОФИЦИАЛЬНОЕ ОПУБЛИКОВАНИЕ
Закон Смоленской области от 10.06.2024 № 134-з
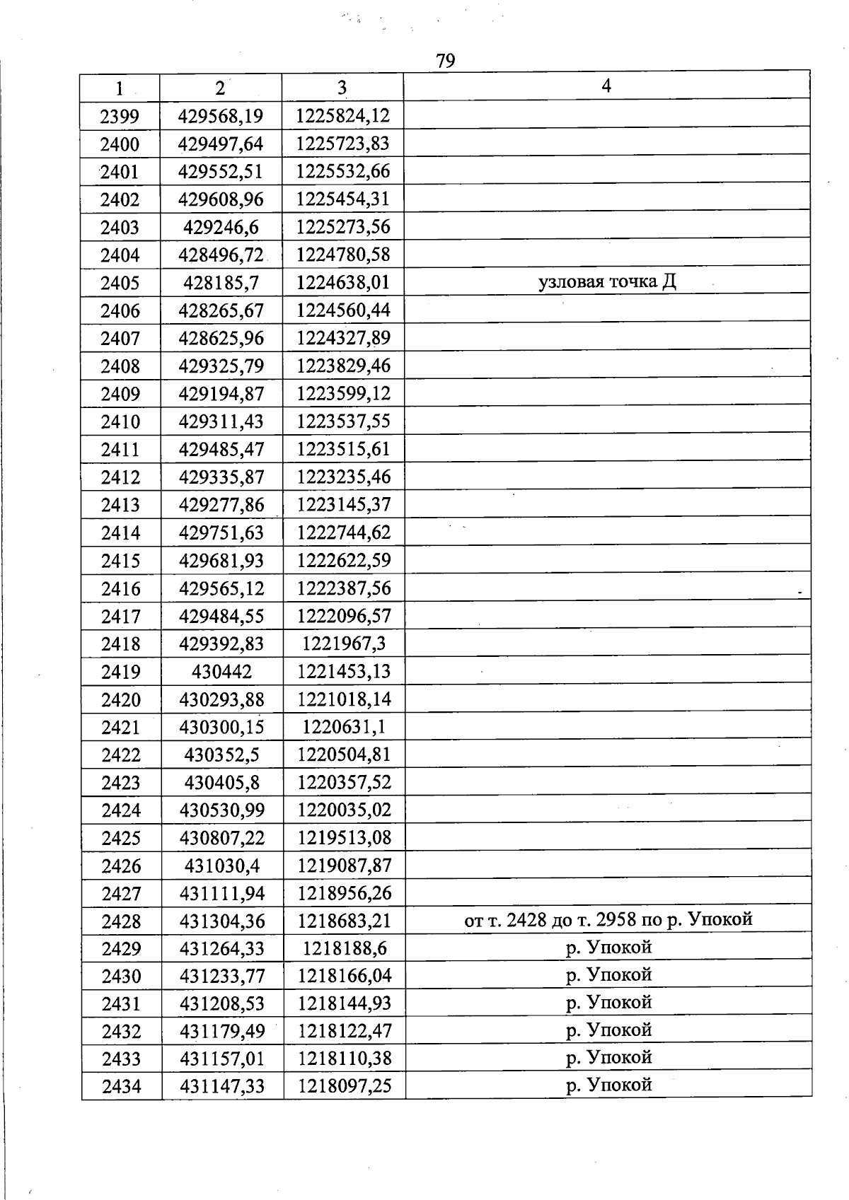
"О внесении изменений в областной закон "О наделении статусом муниципального района муниципального образования "Смоленский район" Смоленской области, об установлении границ муниципальных образований, территории которых входят в его состав, и наделении их статусом сельских поселений"
Номер опубликования: 6700202406100030
Дата опубликования: 10.06.2024
Страница №79 из 224:
Увеличить