Официальное опубликование правовых актов
ОФИЦИАЛЬНОЕ ОПУБЛИКОВАНИЕ
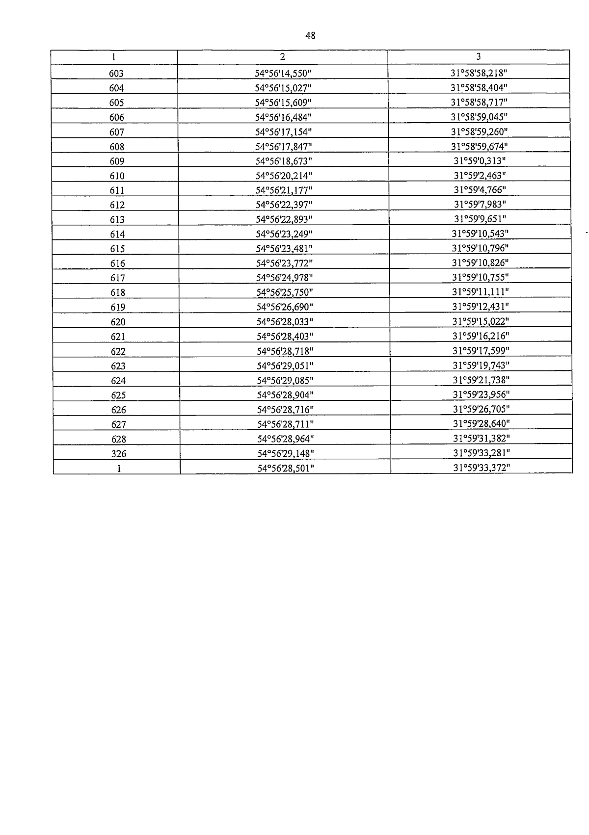
Указ Губернатора Смоленской области от 29.05.2024 № 51
"О создании охранной зоны памятника природы регионального значения "Озеро Пениснарь" и установлении ее границ"
Номер опубликования: 6700202405300036
Дата опубликования: 30.05.2024
Страница №48 из 50:
Увеличить