Официальное опубликование правовых актов
ОФИЦИАЛЬНОЕ ОПУБЛИКОВАНИЕ
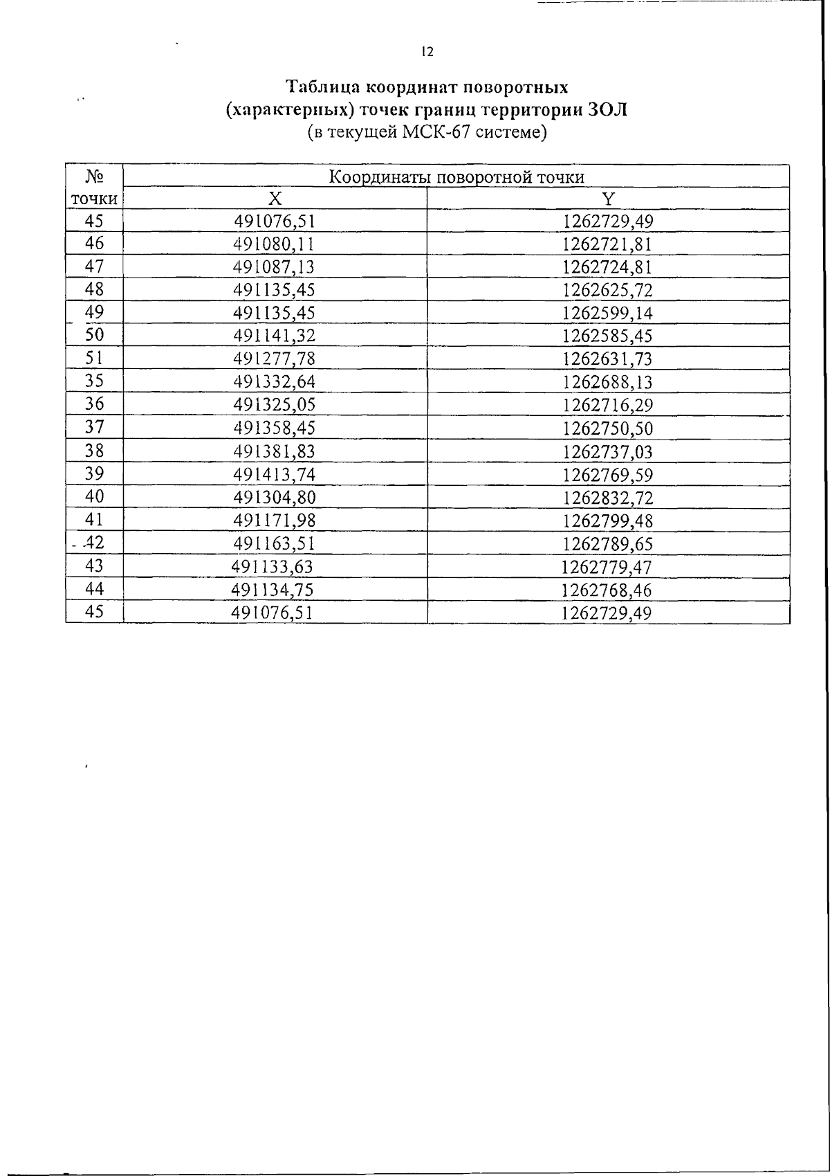
Постановление Правительства Смоленской области от 04.12.2023 № 157
"Об установлении зон охраны объекта культурного наследия (памятника истории и культуры) народов Российской Федерации регионального значения "Здания хлопчатобумажной фабрики купца Хлудова", 1873 г., расположенного по адресу (местонахождение): Смоленская область, Ярцевский район, г. Ярцево, ул. Ленинская, д. 1, д. 2, д. 16, и утверждении требований к градостроительным регламентам в границах территорий данных зон"
Номер опубликования: 6700202312060001
Дата опубликования: 06.12.2023
Страница №12 из 17:
Увеличить