Официальное опубликование правовых актов
ОФИЦИАЛЬНОЕ ОПУБЛИКОВАНИЕ
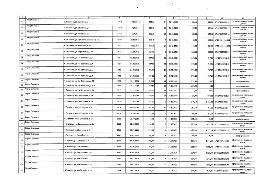
Постановление Администрации Смоленской области от 26.04.2023 № 201
"О внесении изменений в Региональную адресную программу по переселению граждан из аварийного жилищного фонда на 2019 – 2023 годы"
Номер опубликования: 6700202304280013
Дата опубликования: 28.04.2023
Страница №5 из 13:
Увеличить