Официальное опубликование правовых актов
ОФИЦИАЛЬНОЕ ОПУБЛИКОВАНИЕ
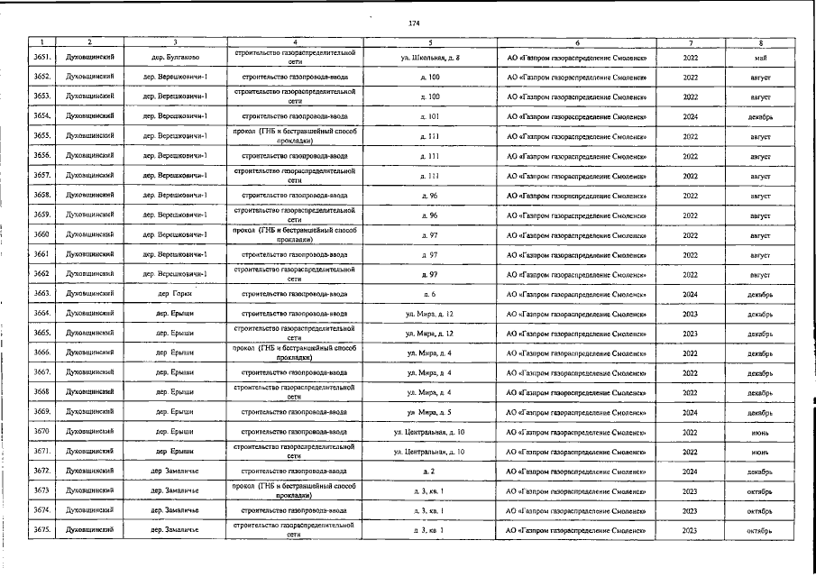
Указ Губернатора Смоленской области от 11.04.2023 № 45
"О внесении изменений в Региональную программу газификации жилищно-коммунального хозяйства, промышленных и иных организаций, расположенных на территории Смоленской области, на 2021 – 2030 годы"
Номер опубликования: 6700202304170007
Дата опубликования: 17.04.2023
Страница №174 из 527:
Увеличить