Официальное опубликование правовых актов
ОФИЦИАЛЬНОЕ ОПУБЛИКОВАНИЕ
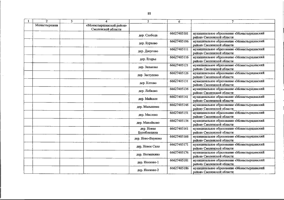
Постановление Администрации Смоленской области от 03.04.2023 № 142
"Об утверждении перечня опорных населенных пунктов и прилегающих к ним населенных пунктов Смоленской области"
Номер опубликования: 6700202304060007
Дата опубликования: 06.04.2023
Страница №88 из 200:
Увеличить