Официальное опубликование правовых актов
ОФИЦИАЛЬНОЕ ОПУБЛИКОВАНИЕ
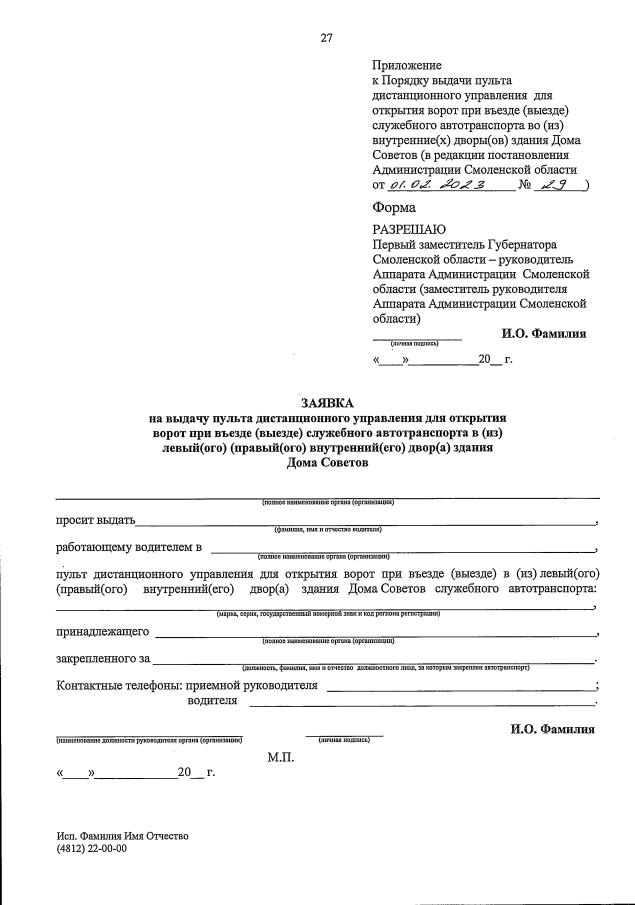
Постановление Администрации Смоленской области от 01.02.2023 № 29
"О внесении изменений в Положение о пропускном и внутриобъектовом режимах в здании Дома Советов и Административном корпусе № 1"
Номер опубликования: 6700202302030005
Дата опубликования: 03.02.2023
Страница №27 из 27:
Увеличить