Постановление Администрации Смоленской области от 20.01.2021 № 8
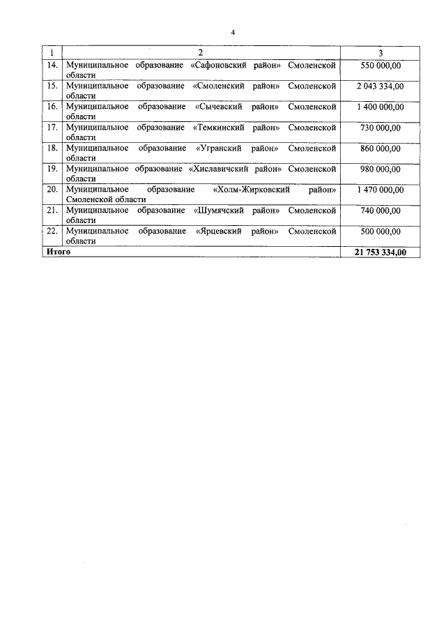
"Об утверждении распределения предоставляемых из областного бюджета в 2021 году субсидий для софинансирования расходов бюджетов муниципальных районов Смоленской области в рамках реализации областной государственной программы "Развитие культуры в Смоленской области" на обеспечение развития и укрепления материально-технической базы домов культуры в населенных пунктах с числом жителей до 50 тысяч человек"
"Об утверждении распределения предоставляемых из областного бюджета в 2021 году субсидий для софинансирования расходов бюджетов муниципальных районов Смоленской области в рамках реализации областной государственной программы "Развитие культуры в Смоленской области" на обеспечение развития и укрепления материально-технической базы домов культуры в населенных пунктах с числом жителей до 50 тысяч человек"
Номер опубликования: 6700202101260001
Дата опубликования:
26.01.2021
