Официальное опубликование правовых актов
ОФИЦИАЛЬНОЕ ОПУБЛИКОВАНИЕ
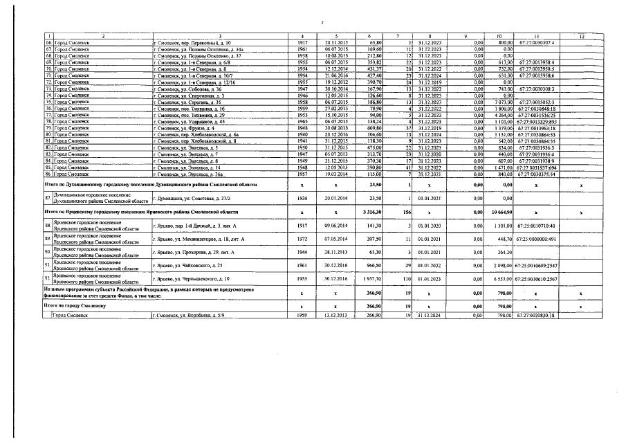
Постановление Администрации Смоленской области от 23.12.2020 № 811
"О внесении изменений в Региональную адресную программу по переселению граждан из аварийного жилищного фонда на 2019 - 2025 годы"
Номер опубликования: 6700202012250007
Дата опубликования: 25.12.2020
Страница №7 из 13:
Увеличить